2023年甘肅省本科提前批(B段)理工、文史類院校投檔最低分
2023年甘肅省本科提前批(B段)理工、文史類院校投檔最低分
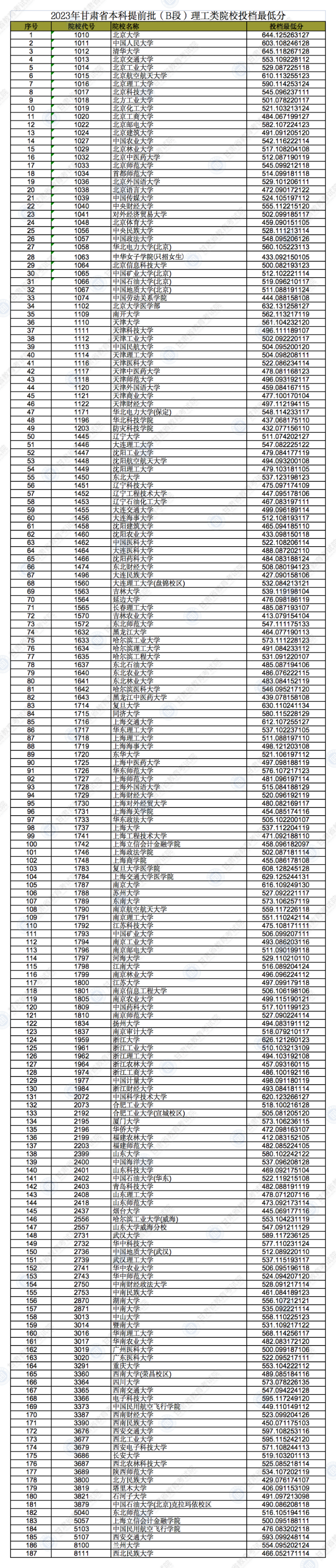
理工類

文史類

1、凡注有“新天水訊”的稿件,均為天水日報(bào)社版權(quán)稿件,未經(jīng)許可不得轉(zhuǎn)載或鏡像;授權(quán)轉(zhuǎn)載必須注明來源為“新天水”,并保留“新天水”電頭。
2、凡注明為其它來源的信息,均轉(zhuǎn)載自其它媒體,轉(zhuǎn)載目的在于傳遞更多信息,并不代表新天水客戶端(網(wǎng)站)贊同其觀點(diǎn)和對其真實(shí)性負(fù)責(zé)。